图片来源:图虫创意
美国商标申请又爆雷!8月25日,美国商标专利局对深圳某公司发出《理由陈述令》,直指该公司触犯法律法规,并提供怀疑造假的证据。


(查询到的该公司相应注册信息)
从《理由陈述令》来看,该公司被怀疑存在以下造假情况:
冒用去世律师的名义提交申请
美国律师Jeffrey Stewart Firestone已于2021年7底去世,但在2021年8月以后,仍有超过300份的美国商标答复以他的名义提交。

虚构一个律师名义提交申请
除Jeffrey Stewart Firestone外,该公司还委托了名为“Jackson George”的律师进行商标代理,提交了上千份商标申请。经过美国商标局查验,确实有名为“Jackson George III”的美国律师,但该律师回应并未给任何商标领域申请提供代理服务。

商标使用证据作假
在该公司提交的申请文件中,美国商标局发现了大量的虚假使用证据。例如,该公司多次提交1981mall.com网站作为使用证据,但查实发现,该网站似乎只是为了在商标申请中生成使用证据而创建的,并非用于出售真实产品的电子商务网站。

高频提交商标申请
美国商标局提供的证据显示,该深圳公司在商标申请方面有着极高的提交效率,曾经有过同一时间不同计算机的递交记录。另外,还在商标提交过程中提供虚假、虚构和/或欺诈信息,比如未经授权试图将申请记录中的律师信息更改为虚构的个人信息等。
以上就是《理由陈述令》中提出的造假证据,USPTO要求该公司在9月8日前提交相应的实质证据,证明其在多件商标申请及答审过程中提供的签名文件、商标使用证据等真实有效,否则将承受以下制裁:
①永久禁止该深圳公司代表其或代表其他人向USPTO提交商标领域相关文件;
②从USPTO的商标申请和/或注册的数据中删除所有与该深圳公司相关的通信信息;
③对该深圳公司提交给USPTO的所有商标相关文件不予理会,包括通过与该深圳公司相关的USPTO.gov账户提交的所有文件,以及非具名签署人亲自签署的所有提交文件;
④终止所有正在进行的包含该深圳公司提交的申请、答审意见等的程序;
⑤USPTO的首席信息官办公室永久终止或封禁出现与该深圳公司有关联的联系信息的任何USPTO.gov账户,并采取一切合理措施加以防止、阻止该深圳公司创建或激活新的账户;
⑥阻止用于支付与不当提交和/或与被该深圳公司相关的存档费用的信用卡在未来进行财务交易;
⑦继续删除文件,删除信息,停用帐户,并终止包含后来发现该深圳公司提交文件的程序。
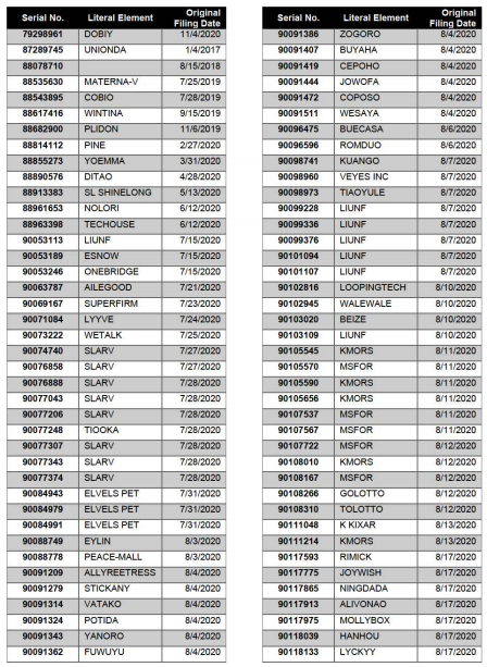
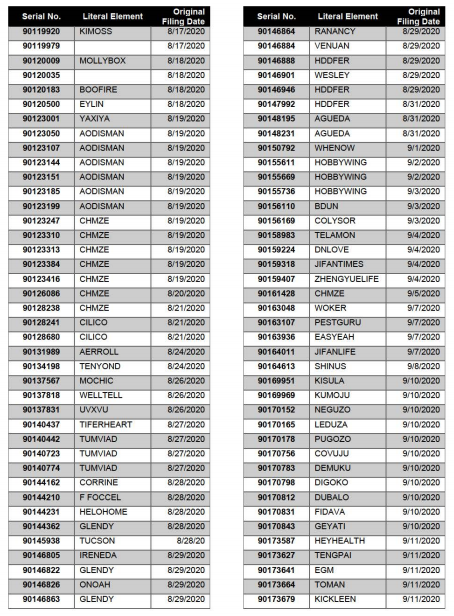
另外,《理由陈述令》中也列举了该公司提交的2200+美国商标,若是9月初未能提交相应的应诉证据,这些商标都有可能会受影响。卖家需抓紧自查,看看自己的商标是否在其中,以便早做应对。
▼部分商标



去年12月15000+商标被作废,相应的品牌备案也遭亚马逊撤销,且重新备案也会被提示滥用,对店铺和销售造成难以估量的影响。如今再爆雷,想必也是殊途同归,又会有一大批卖家陷入困境。
而这却不是终点,随着美国商标申请量屡创新高,USPTO正积极采取各种措施加强对代理机构的监查,未来爆雷的可能性将会大大增加。
哪该如何避免踩雷呢?积特给大家的建议是:在申请商标时一定要选择合规的代理机构,切勿贪小便宜,盲目追求低价。要知道美标注册时间大约需要8-10个月,时间跨度相对较长,若选择的代理机构不靠谱,很容易会所托非人,钱标两失。

